Ответы
Ответ дал:
2
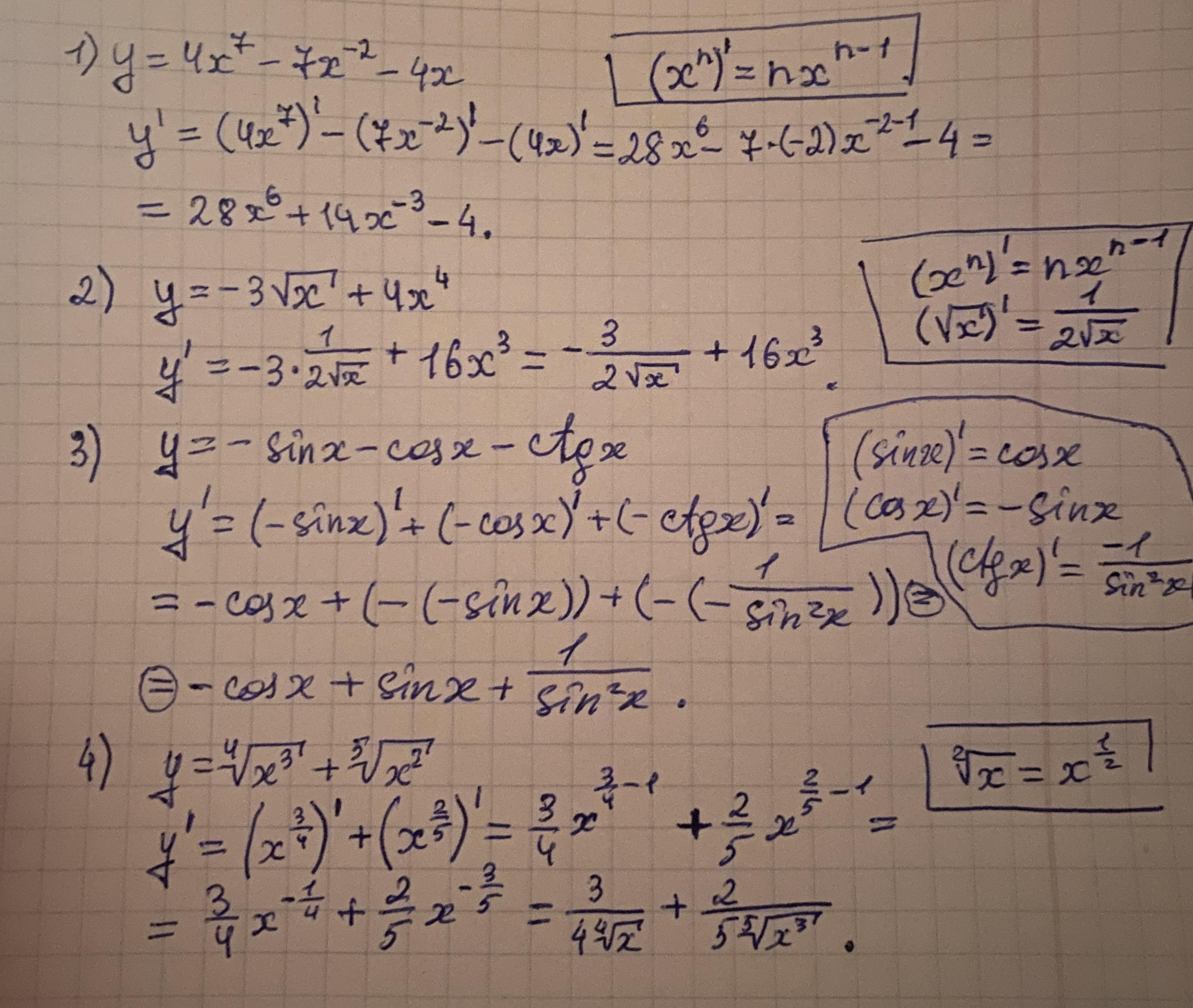
дивіться фото…………………
Приложения:

Аноним:
супер!!
Вас заинтересует
1 год назад
1 год назад
1 год назад
3 года назад
8 лет назад