• Предмет: Математика
  • Автор: Аноним
  • Вопрос задан 1 год назад

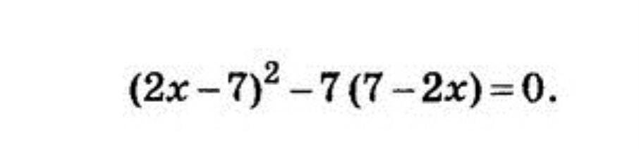
розв‘язати рівняння, допоможіть, будь ласка

Приложения:

Ответы

Ответ дал: manyny06
0

Ответ:

решение смотри на фотографии

Приложения:
Вас заинтересует