• Предмет: Математика
  • Автор: Аноним
  • Вопрос задан 2 года назад


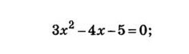
розв‘язати рівняння, допоможіть, будь ласка

Приложения:

Ответы

Ответ дал: manyny06
0

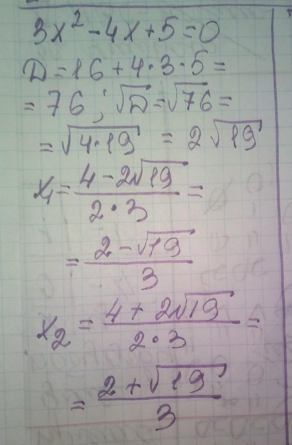
Ответ:

решение смотри на фотографии

Приложения:
Вас заинтересует