• Предмет: Алгебра
  • Автор: stasikkkkkkkkkk666
  • Вопрос задан 2 года назад

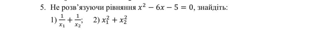
Прошу с розв‘язанням

Приложения:

Ответы

Ответ дал: manyny06
0

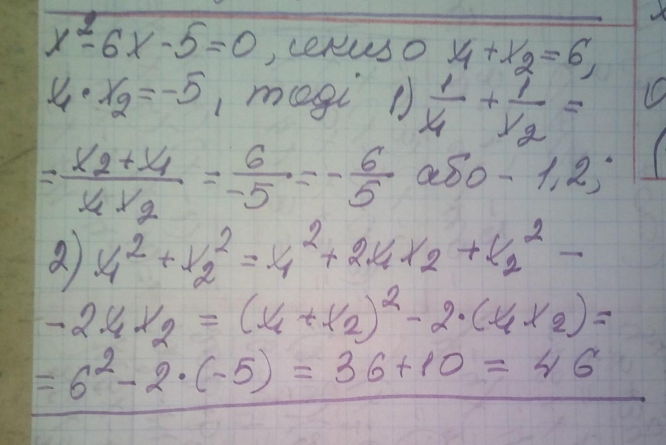
Ответ:

решение смотри на фотографии

Приложения:
Вас заинтересует