• Предмет: Алгебра
  • Автор: Аноним
  • Вопрос задан 2 года назад

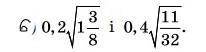
ПОМОГИТЕ ПОЖАЛУЙСТА ​

Приложения:

Ответы

Ответ дал: asdfghjkl6969ok
0

Ответ:

в калькуляторі можете провірити )

Приложения:
Вас заинтересует