даю 50 балів, обов'язково з розв'язанням
Приложения:
                    
                            
                    Аноним:
                    напиши свой инст,там решу,данное сообщение не имеет никакой личной информации
                
            Ответы
                                            Ответ дал: 
                                                                                    
                                        
                                            
                                                
                                                
                                                
                                                    0
                                                
                                            
                                        
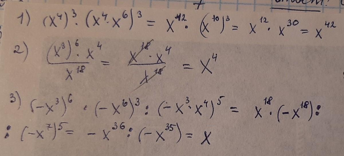
                                    1) (x⁴)³ × (x⁴×x⁶)³ = x¹² × (x¹⁰)³ = x¹² × x³⁰ = x⁴²
2) (x³)⁶×x⁴ / x¹⁸ = x¹⁸ × x⁴ / x¹⁸ = x⁴
3) (-x³)⁶ × (-x⁶)³ : (-x³×x⁴)⁵ = x¹⁸ × -x¹⁸ : (x¹²)⁵ = -x³⁶ : x⁶⁰ = -x-²⁴ = -(1/x²⁴)
                                            Ответ дал: 
                                                                                    
                                        
                                            
                                                
                                                
                                                
                                                    1
                                                
                                            
                                        
                                    Решение на прикреплённой фотографии
Приложения:
                    
                            Вас заинтересует
                
                        1 год назад
                    
                
                        1 год назад
                    
                
                        1 год назад
                    
                
                        1 год назад
                    
                
                        3 года назад
                    
                
                        3 года назад
                    
                
                        8 лет назад