• Предмет: Алгебра
  • Автор: dmitrorog
  • Вопрос задан 2 года назад

Даю 50 балів, обов'язково з розв'язанням​

Приложения:

Ответы

Ответ дал: broomspun1
1

Ответ:

держи ответ

Объяснение:

Приложения:
Ответ дал: sangers1959
1

Объяснение:

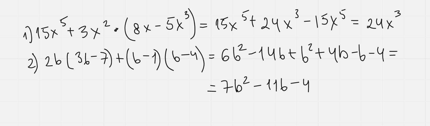
1.

15x⁵+3x²*(8x-5x³)=15x⁵+24x³-15x⁵=24x³.

2.

2b*(3b-7)+(b-1)*(b+4)=6b²-14b+b²+4b-b-4=7b²-11b-4.

Вас заинтересует