• Предмет: Геометрия
  • Автор: andreev2107q
  • Вопрос задан 2 года назад

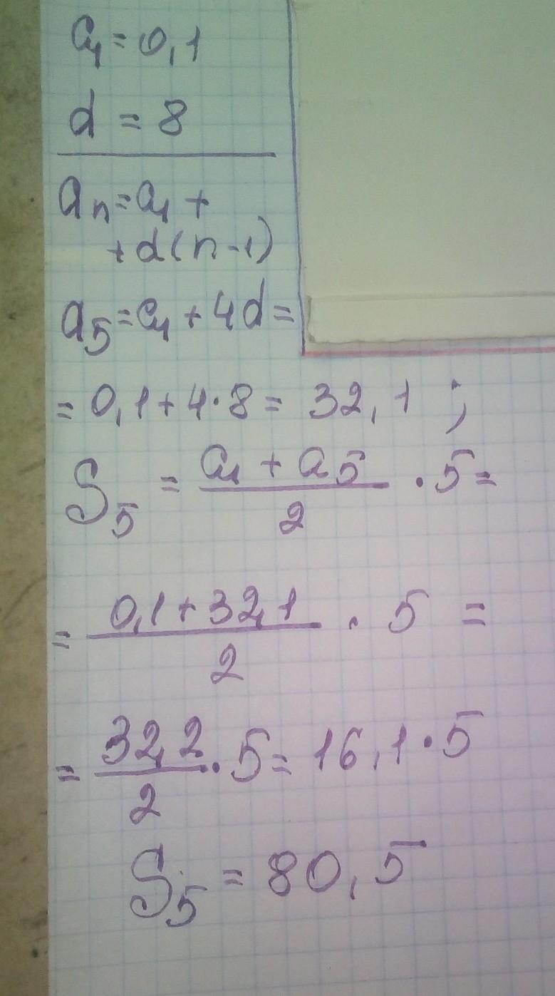
Дана арифметическая прогрессия (an). Известно, что a1 = 0,1 и d = 8.

Вычисли сумму первых 5 членов арифметической прогрессии.
S5 =

Ответы

Ответ дал: manyny06
1

Ответ:

решение смотри на фотографии

Приложения:
Вас заинтересует