• Предмет: Математика
  • Автор: kondratovicsnezanna
  • Вопрос задан 2 года назад

4 1/2 -3 3/4 помогите решить пожалуйста

Ответы

Ответ дал: irka8409
0

вот ответ: 0.75

Пошаговое объяснение:

ставим в душки (4 1/2) потом - и тоже ставим в душки (3 3/4 и так у нас виходить 0.75


kondratovicsnezanna: Ирка неправильно
kondratovicsnezanna: Тупой ответ
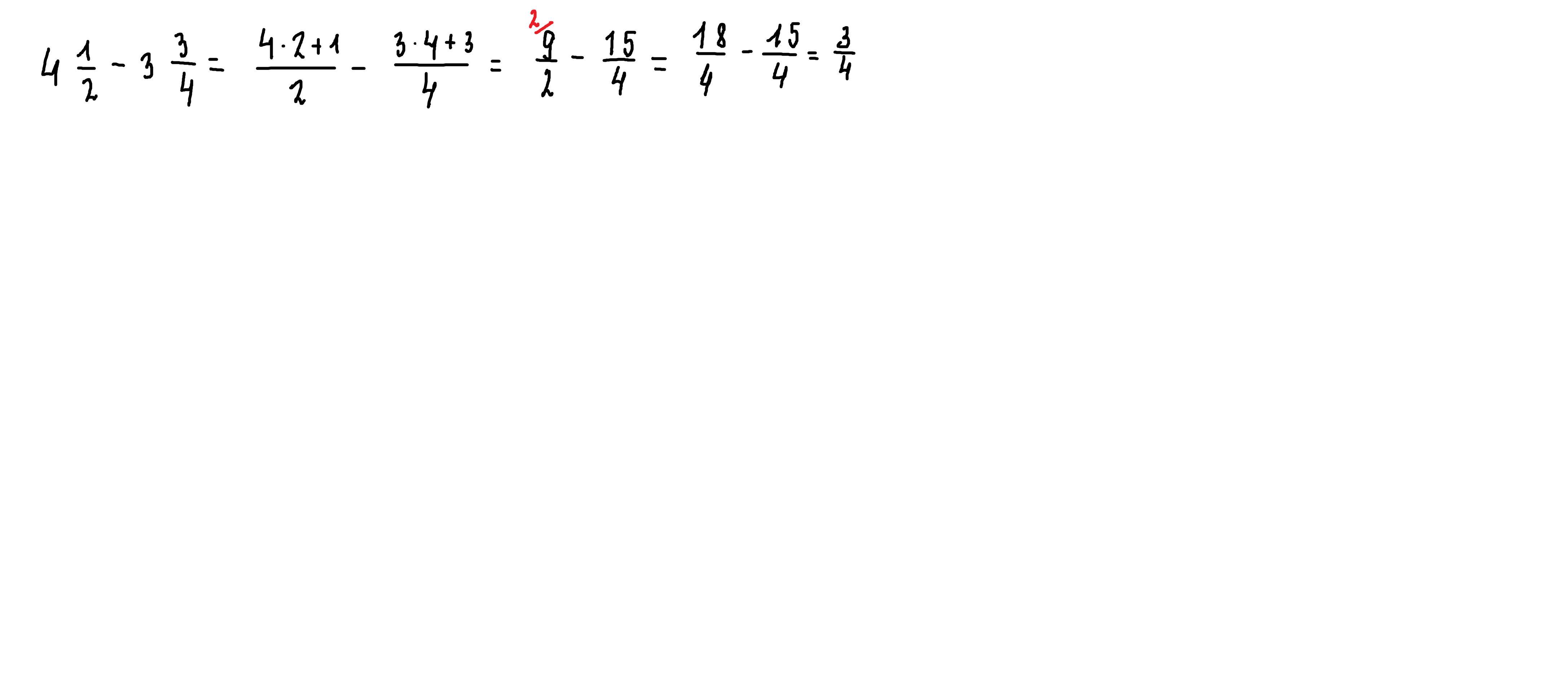
Ответ дал: parus77
1

Ответ:

3/4

Пошаговое объяснение:

решение внизу,сначала превратим дроби в неправильные,потом приведем  к общему знаменателю и вычислим.

Приложения:

kondratovicsnezanna: Спасибо
Вас заинтересует