• Предмет: Математика
  • Автор: payeer105505
  • Вопрос задан 2 года назад

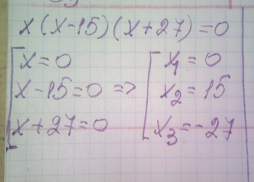
Знайти корінь рівняння x(x-15)(x+27)=0

Ответы

Ответ дал: manyny06
1

Ответ:

решение смотри на фотографии

Приложения:
Ответ дал: iluhapoluskin
0

Відповідь:x(x - 15)(x + 27) = 0

x=0

(x-15) = 0 (x+27) = 0

Покрокове пояснення:x=0

x=15

x=-27

не точная инфа

Вас заинтересует