• Предмет: Алгебра
  • Автор: Аноним
  • Вопрос задан 2 года назад

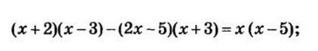
розв’яжіть рівняння
варіанти:

-1,5; 3
0;3
1,5; 3
1,5; -3
0; 1,5

Приложения:

Ответы

Ответ дал: ghmkg
0

Відповідь:

-1,5; 3

Пояснення:

(x+2)(x-3)-(2x-5)(x+3)=x(x-5)
x^{2} -3x+2x-6-(2x^{2}+6x-5x-15)=x^{2} -5x\\ x^{2}-x^{2}+2x^{2}-3x+2x-6x+5x+5x-6+15=0\\2x^{2} -3x-9=0\\

D=b^2-4ac

D= (-3)^2-4•2•(-9)= 9+72=81

x1=\frac{-b+\sqrt{D} }{2a}

x2=\frac{-b-\sqrt{D} }{2a}

x1= (-(-3) +√81):(2•2)=3

x2=(-(-3)-√81):(2•2)=-1,5

Вас заинтересует