• Предмет: Алгебра
  • Автор: Аноним
  • Вопрос задан 2 года назад

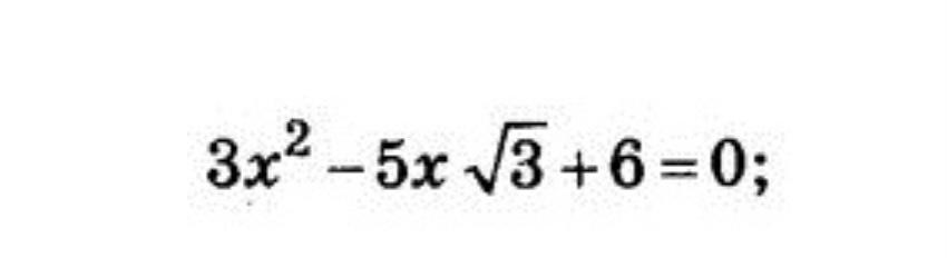
розв‘яжіть рівняння
√3; 2√3/3
2√3 ; √3
0; 2√3
-√3; 2√3/3
√3/3

Приложения:

Ответы

Ответ дал: aarr04594
0

Відповідь: фото

Пояснення:

розв'язання завдання додаю

Приложения:
Вас заинтересует