Ответы
Ответ дал:
0
Ответ:
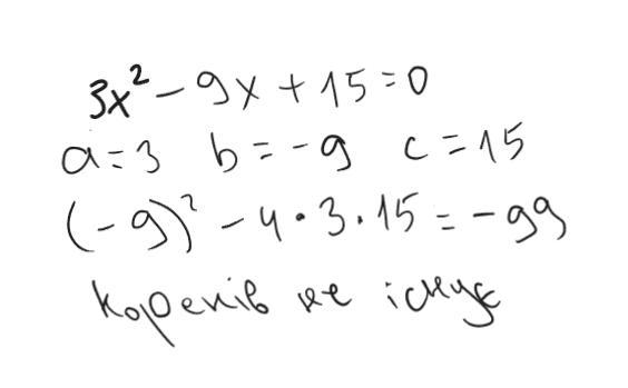
поскольку корней не существует, то х1х2 найти нельзя
Объяснение:
Приложения:

Вас заинтересует
1 год назад
1 год назад
1 год назад
3 года назад
3 года назад
8 лет назад