• Предмет: Алгебра
  • Автор: Sofa1Lu
  • Вопрос задан 2 года назад

допоможіть будь ласка

Треба розв'язати рівняння
З повним поясненням будь ласка

Приложения:

Ответы

Ответ дал: dobra888
0

Відповідь:       х = 8 .  

Пояснення:

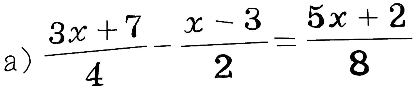
  # a )  ( 3x + 7 )/4 - ( x - 3 )/2 = ( 5x + 2 )/8 ; │X 8   ( помножили на 8 )

           2( 3x + 7 ) - 4( x - 3 ) = 1* ( 5x + 2 ) ; ( розкриємо дужки )

     6x + 14 - 4x + 12 = 5x + 2 ; ( невідомі вліво , а відомі вправо )

     6x - 4x - 5x = 2 - 14 - 12 ;    ( зводимо подібні доданки )

      - 3x = - 24 ;          ( знайдемо невідомий множник )

          x = - 24 : ( - 3 ) ;  ( ділимо два від'ємні числа )

          х = 8 .

   #  Марія Іванівна точно так пояснювала !

Вас заинтересует