очень срочно!!!!
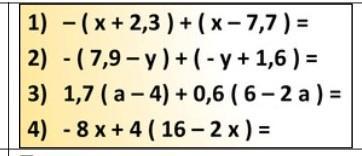
- (х + 2,3) + (x - 7,7) =
- (7,9 - y) + (-y + 1,6) =
1,7 (a - 4) + 0,6 (6 - 2a) =
- 8x + 4 (16 + 2x) =
Приложения:

Ответы
Ответ дал:
1
- (х + 2,3) + (x - 7,7) = - х- 2,3 + х - 7,7 = - 10
- (7,9 - y) + (-y + 1,6) = -7,9 + y - у + 1,6 = - 6,3
1,7(a - 4) + 0,6(6 - 2a) = 1,7a - 6,8 + 3,6 -1,2a = 0,5a - 3,2
-8x + 4( 16-2x ) = -8x + 64 -8x = 64 - 16x
Вас заинтересует
1 год назад
1 год назад
1 год назад
3 года назад
3 года назад
8 лет назад