• Предмет: Математика
  • Автор: fdsfsdfesd
  • Вопрос задан 2 года назад

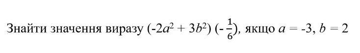
40БАЛЛІВ ДОПОМОЖІТЬ ЗАВДЯННЯ НА ФОТО

Приложения:

Ответы

Ответ дал: tatsach
1

Ответ:

Пошаговое объяснение:

Приложения:
Вас заинтересует