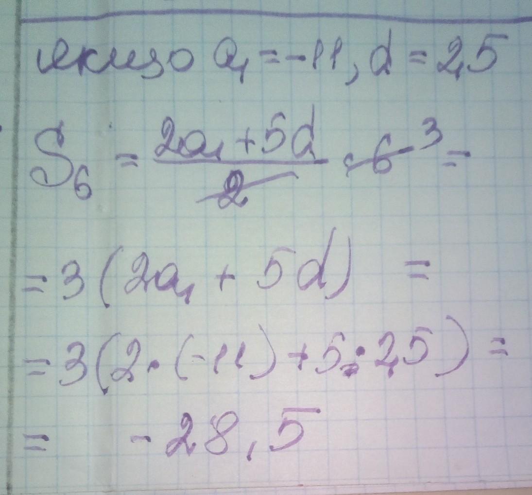
5. Знайдіть суму перших шести членів арифметичної прогресії (an) a1= - 11, d = 2, 5 А. 29. Б. -30. В. -28,5. Г. -31,5.
Ответы
Ответ дал:
3
Ответ:
решение смотри на фотографии
Приложения:

Вас заинтересует
1 год назад
1 год назад
1 год назад
3 года назад
3 года назад
8 лет назад
8 лет назад