• Предмет: Алгебра
  • Автор: iiiof
  • Вопрос задан 2 года назад


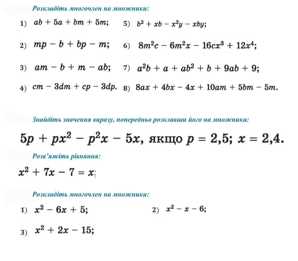
допоможіть, будь ласка​

Приложения:

Ответы

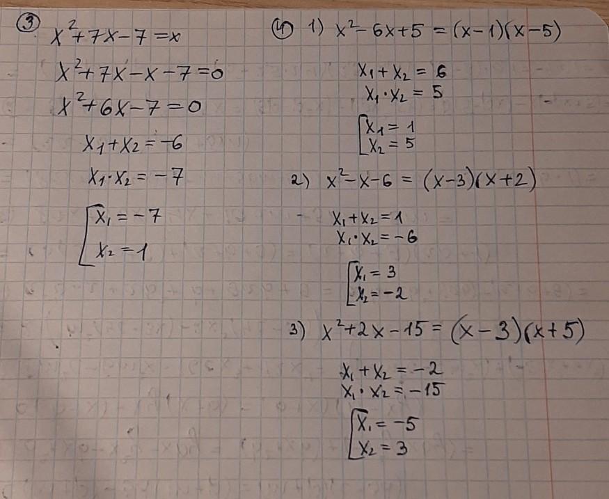
Ответ дал: сок111213
1

Решение на прикреплённой фотографии

Приложения:
Вас заинтересует
3 года назад