• Предмет: Алгебра
  • Автор: naydenova971997
  • Вопрос задан 10 лет назад

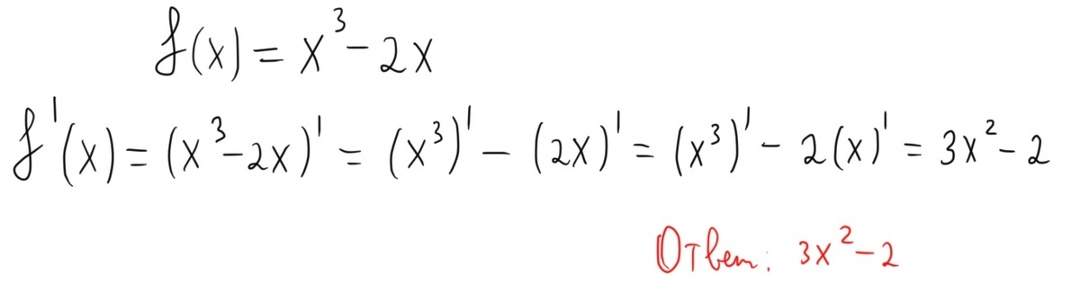
Помогите найти производную функцияf(х)=0 х³-2х

Ответы

Ответ дал: nikolac
0
Решение на картинке.
Приложения:
Ответ дал: nikolac
0
Раз сами умеете, зачем спрашивать?) Неуверенность сильно мешает.
Вас заинтересует