Ответы
Ответ дал:
0
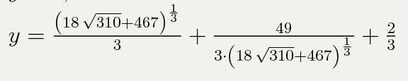
Вот 1 корень. Другой просто огромный...не знаю, хочешь пиши, хочешь нет)
Приложения:


Вас заинтересует
2 года назад
2 года назад
8 лет назад
8 лет назад
10 лет назад
10 лет назад
10 лет назад