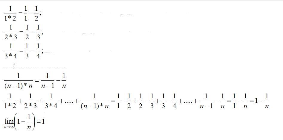
спасайте, фото прикрепил Найти предел
Помогите решить распишите пожалуйста подробно как это решать какую формулу использовать.
Приложения:

vladghtc:
да, так всегда писали
Ответы
Ответ дал:
3
Відповідь:
не используйте в своих ответах решения от chat gpt - он не умеет считать от слова вообще.
доверять его ответам то же самое что доверить новорожденному управлять космическим кораблем
Покрокове пояснення:
Приложения:

Вас заинтересует
1 год назад
1 год назад
1 год назад
3 года назад
3 года назад
8 лет назад