• Предмет: Математика
  • Автор: scyba59
  • Вопрос задан 2 года назад

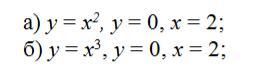
Обчислити площі фігур, обмежених лініями

Приложения:

Simba2017: в чем застряли? график сделали?

Ответы

Ответ дал: Simba2017
1

a) S=∫x^2dx=x^3/3=2^3/3-0=8/3

b)S=∫x^3dx=x^4/4=2^4/4=4

Приложения:
Вас заинтересует