• Предмет: Физика
  • Автор: nazargnitiy
  • Вопрос задан 2 года назад

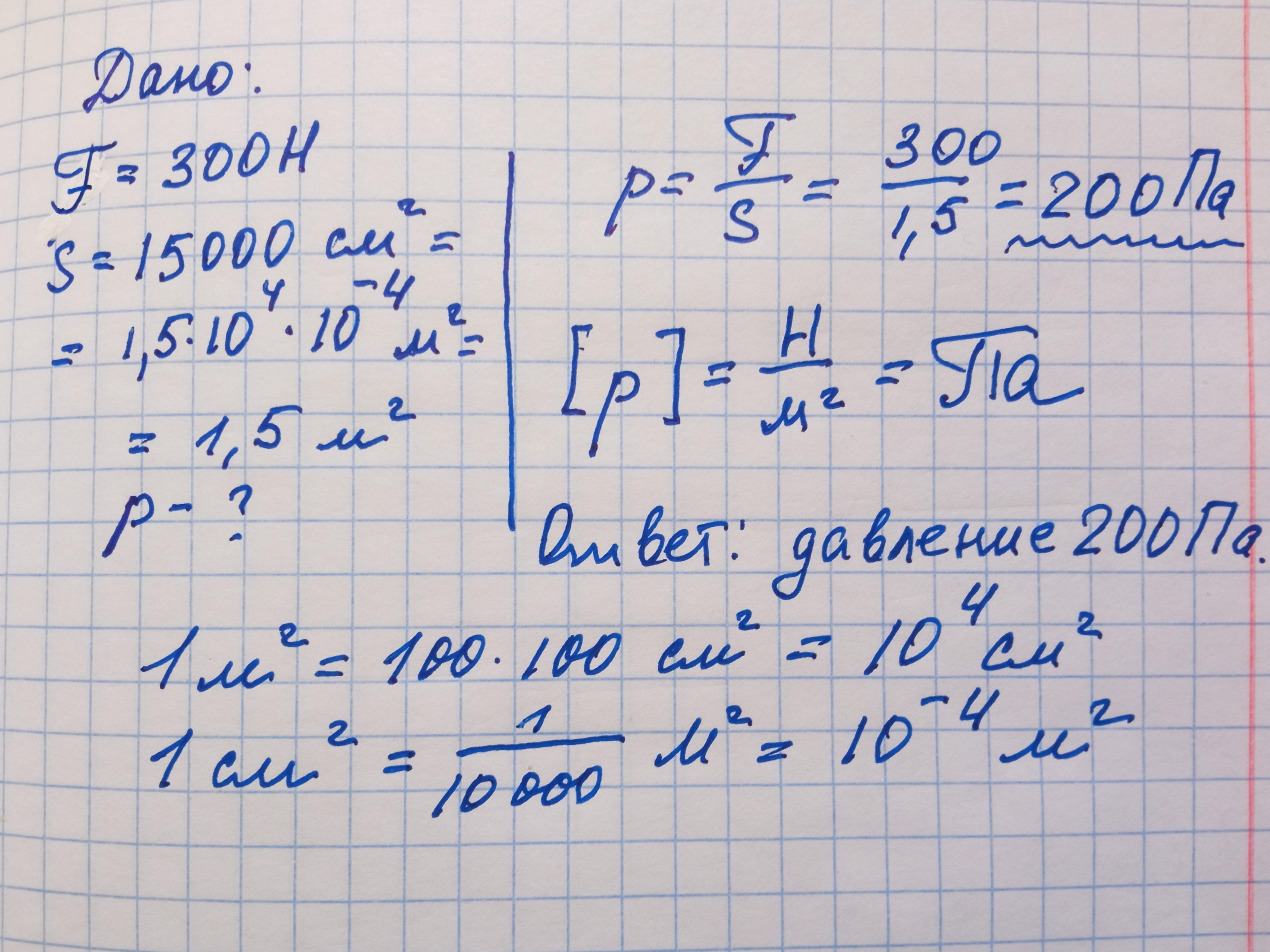
Який тиск створює сила 300 Н на поверхню, площа якої дорівнює 15000 см2 ? срочно даю 100 балов ​

Ответы

Ответ дал: RaphaelAmbrosiusCsto
0

Для вычисления давления, необходимо разделить силу на площадь, на которую она действует. Давление определяется в единицах Ньютонов на квадратный метр (Н/м²), также называемых паскалями (Па). Однако в данной задаче площадь дана в квадратных сантиметрах (см²), поэтому сначала необходимо ее перевести в квадратные метры (м²):

1 м² = 10000 см²

15000 см² = 15000 / 10000 м² = 1.5 м²

Теперь можно вычислить давление, используя формулу:

давление = сила / площадь

давление = 300 Н / 1.5 м²

давление = 200 Па

Таким образом, сила 300 Н, действующая на поверхность площадью 15000 см², создает давление в 200 Па.

Ответ дал: Cohendd
0

Ответ:

Объяснение:.....

Приложения:

Cohendd: Если не знаете степеней с отрицательным показателем, то делите на 10000 при переводе в м².
Вас заинтересует