Ответы
Ответ дал:
1
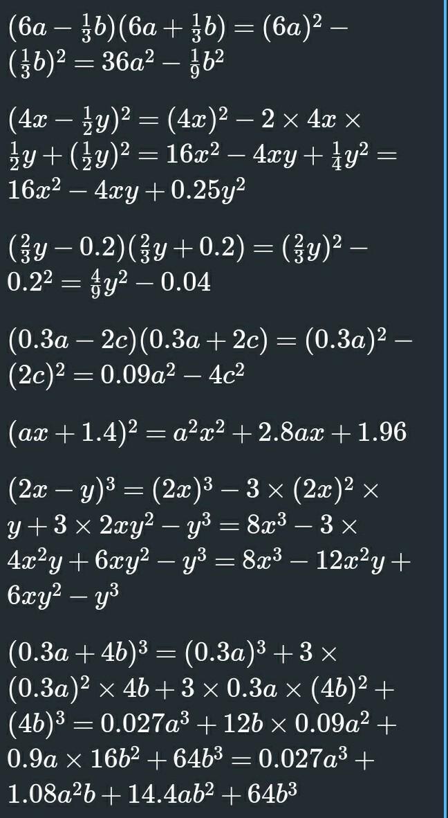
Решение на прикреплённой фотографии
Приложения:



elizavetastepanov:
спасибо огромное!!!
Вас заинтересует
1 год назад
1 год назад
1 год назад
1 год назад
3 года назад
3 года назад
8 лет назад
8 лет назад