• Предмет: Алгебра
  • Автор: eliyooni
  • Вопрос задан 2 года назад

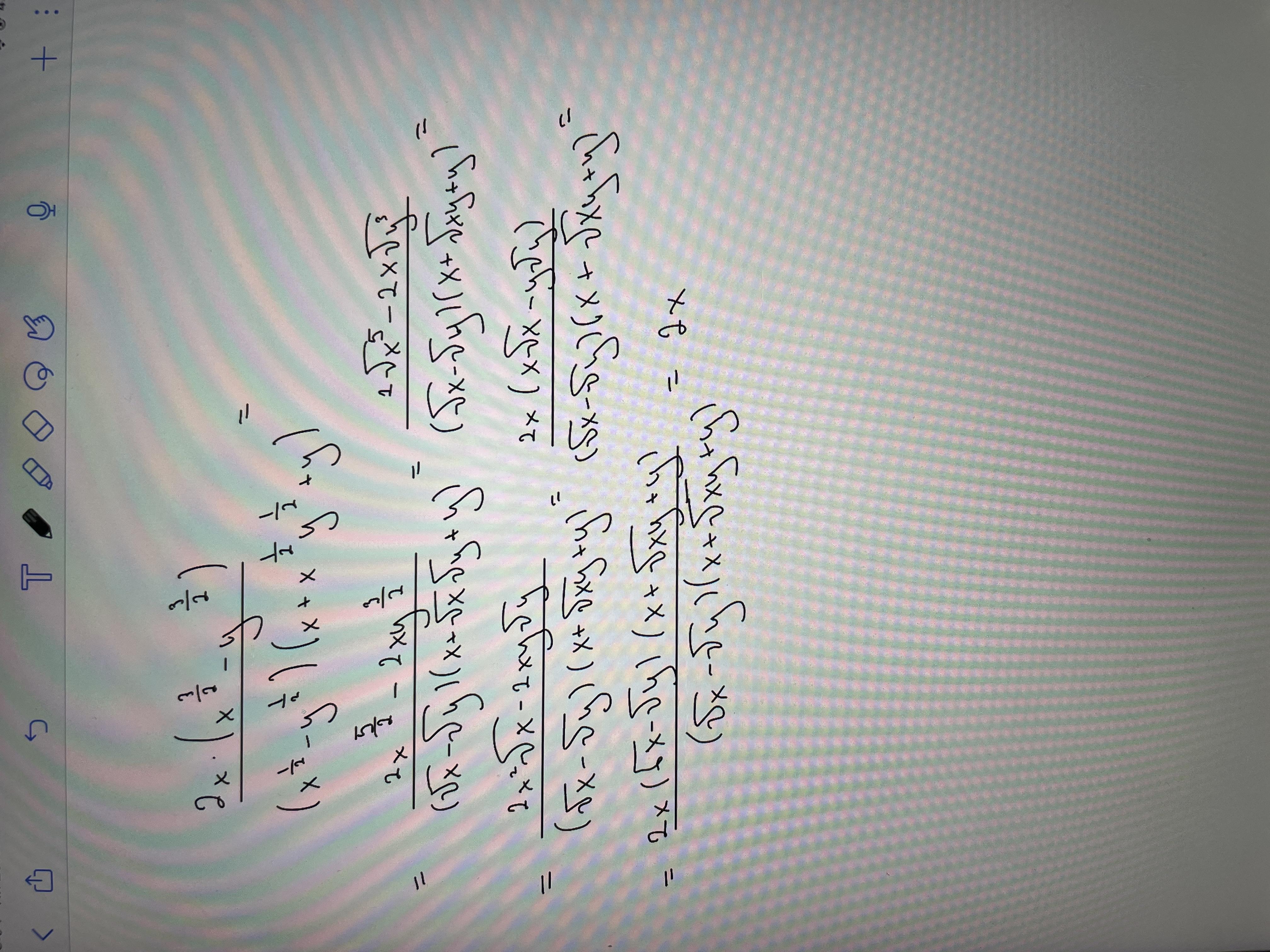
(100б) Спростіть вираз ​

Приложения:

Аноним: напиши свой инст,там решу
eliyooni: eliyoooni

Ответы

Ответ дал: m1lenkaga
1

ответ ниже в фото :)

Приложения:
Вас заинтересует