• Предмет: Алгебра
  • Автор: aizada2001
  • Вопрос задан 10 лет назад

помогите с алгеброй : ( 
только 4 выражения ! : ( 
помогите ! 
заранее спасибо ♥ 

Приложения:

Ответы

Ответ дал: Матов
0
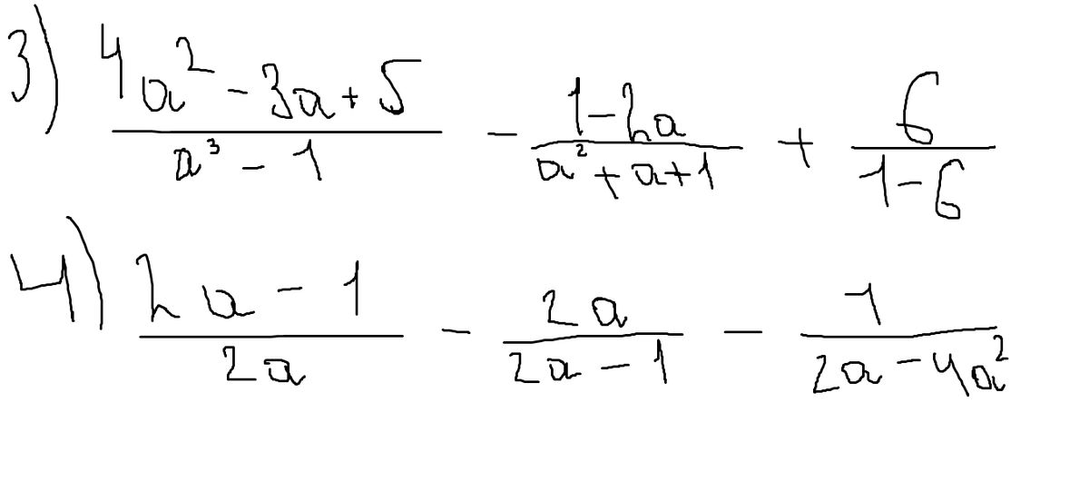
 frac{2a-1}{2a}-frac{2a}{2a-1}-frac{1}{2a-4a^2}=\
 frac{2a-1}{2a}-frac{2a}{2a-1}-frac{1}{-2a(2a-1)}=\
 frac{2a-1}{2a}-frac{-4a^2-1}{-2a(2a-1)}=\
 frac{(2a-1)*-(2a-1)-4a^2+1}{-2a(2a-1)}=\
 frac{-(2a-1)^2-4a^2+1}{-2a(2a-1)}=\
 frac{-8a^2+4a}{-2a(2a-1)}=\
 frac{-4a(2a-1)}{-2a(2a-1)}=2

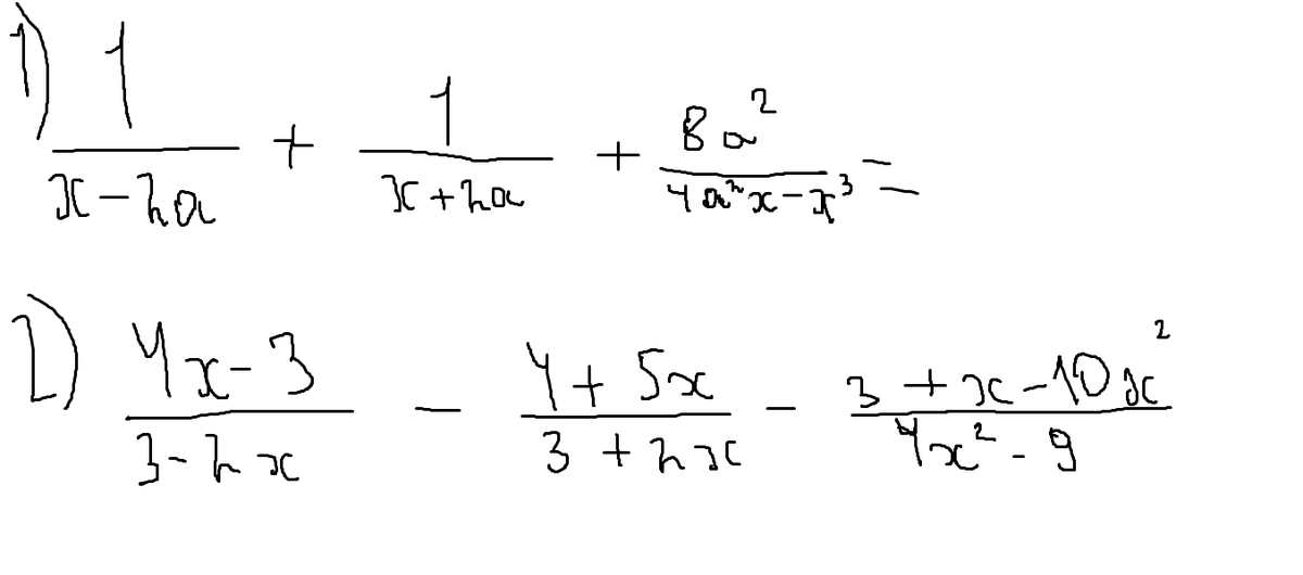
1)\
frac{1}{x-2a}+frac{1}{x+2a}+frac{8a^2}{4a^2x-x^3}=\
frac{x+2a+x-2a}{x^2-4a^2}+frac{8a^2}{-x(x^2-4a^2)}=\
frac{2x}{x^2-4a^2}+frac{8a^2}{-x(x^2-4a^2)}=\
frac{-2x^2+8a^2}{-x(x^2-4a^2)}=\
frac{2(4a^2-x^2)}{-x(x-2a)(x+2a)}=\
frac{-2(x-2a)(2a+x)}{-x(x-2a)(x+2a)}=frac{2}{x}\\

2)\
frac{4x-3}{3-2x}-frac{4+5x}{3+2x}-frac{3+x-10x^2}{(2x-3)(2x+3)}=\
frac{(4x-3)(3+2x)-(4+5x)(3-2x)}{-(2x-3)(2x+3)}-frac{3+x-10x^2}{(2x-3)(2x+3)}=\
frac{(4+5x)(3-2x)-(4x-3)(3+2x)-3-x+10x^2}{(2x-3)(2x+3)}=\ 
frac{18-8x^2}{(2x-3)(2x+3)}=-2\
\

3)\
frac{4a^2-3a+5}{a^3-1}-frac{1-2a}{a^2+a+1}+frac{6}{1-6}\
frac{4a^2-3a+5}{(a-1)(a^2+a+1)}-frac{1-2a}{a^2+a+1}-frac{6}{5}\
frac{4a^2-3a+5-(a-1)(1-2a)}{a^3-1}-frac{6}{5}\ 
frac{6a^2-6a+6)}{(a-1)(a^2+a+1)}-frac{6}{5}\
frac{6(a^2-a+1)}{a^3-1}

Вас заинтересует