• Предмет: Алгебра
  • Автор: teachok
  • Вопрос задан 2 года назад

Виконати розкриття дужок


Приложения:

miilassz: це один приклад чи декілька?
teachok: декілька
miilassz: дякую

Ответы

Ответ дал: kataga
1

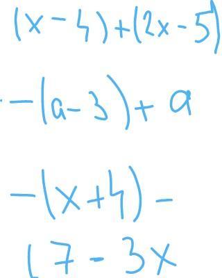
( х-4 )+( 2x-5 ) = x - 4 + 2x - 5 = 3x - 9

- ( a-3 ) + a = -a + 3 + a = 3

-( x+4 ) - ( 7-3x ) = -x - 4 - 7 + 3x = 2x -11


kataga: третий пример верно записан?
Ответ дал: miilassz
0

Відповідь:

1.

(x-4)+(2x-5);

x-4+2x-5;

3x-9.

2.

-(a-3)+a;

-a+3+a;

3.

3.

-(x+4)-17-3x;

-x-4-17-3x;

-4x-21.

або

-(x+4)-(7-3x);

-x-4-7+3x;

2x-11.

Вас заинтересует