• Предмет: Математика
  • Автор: sofiakovtunn
  • Вопрос задан 2 года назад

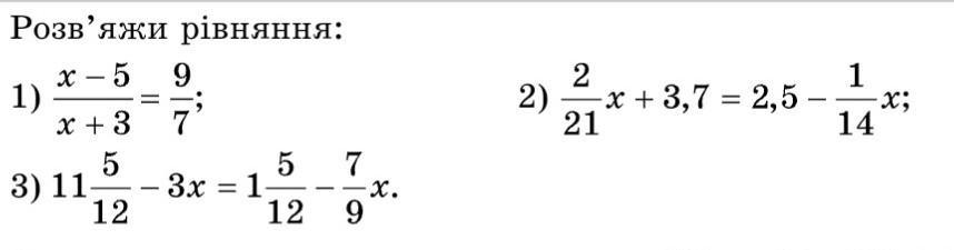
помогите пожалуйста, срочно!!!​

Приложения:

Ответы

Ответ дал: liannalia200
0

Решение:

1. х=-31

2. х=-7,2

3. х=15/8


sofiakovtunn: а можно решение?
Ответ дал: katti2726
0
1)-31 2) -7,2 3) 15|8
Вас заинтересует