Ответы
Ответ дал:
1
Ответ:
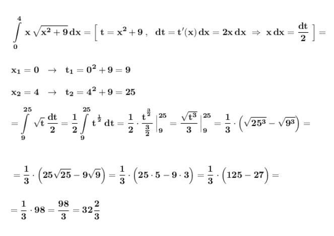
Находим первообразную методом замены переменной. Пределы интегрирования в определёном интеграле меняем соответственно замене . Применяем формулу Ньютона -Лейбница .
Приложения:

masha01021:
спасибо
Вас заинтересует
1 год назад
1 год назад
1 год назад
3 года назад
3 года назад