Ответы
Ответ дал:
1
Ответ:
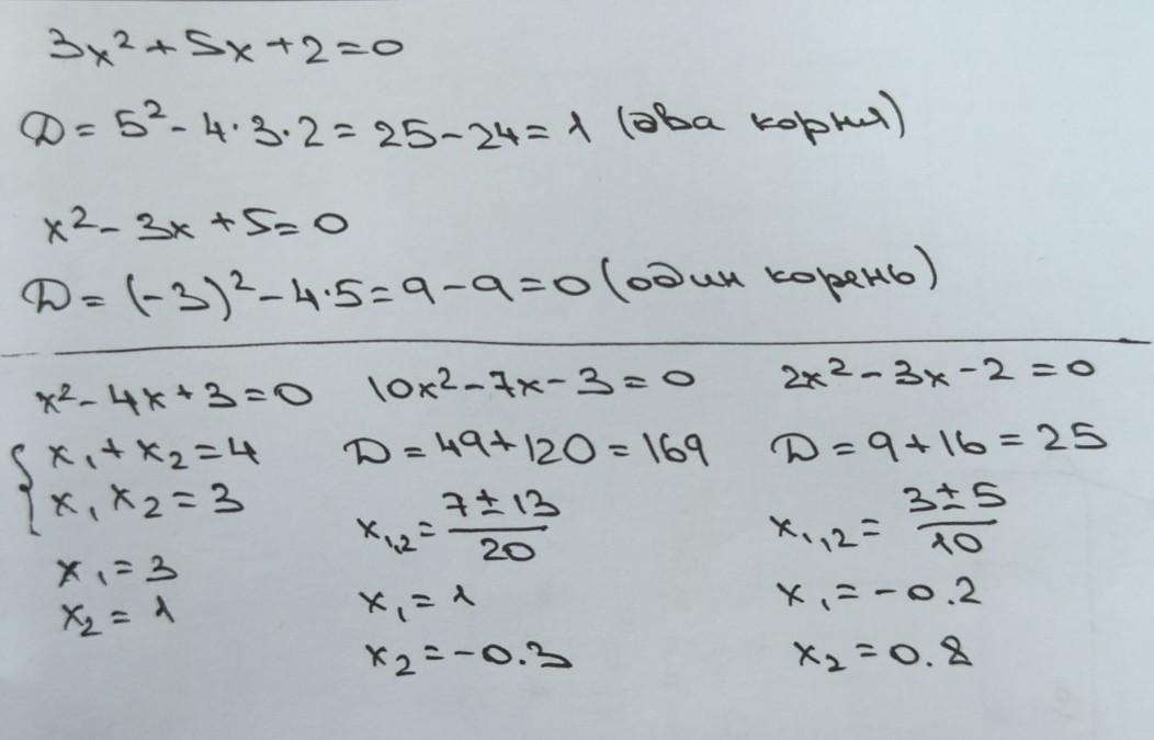
1.1 два корня
1.2 один корень
2.1 3 и 1
2.2 1 и -0. 3
2.3 0.8 и -0. 2
Приложения:

solodkovkosty:
Привет можешь помочь если есть время? Последний вопрос в моем профиле если поможешь буду очень благодарен
Вас заинтересует
1 год назад
1 год назад
3 года назад
3 года назад
8 лет назад
8 лет назад