• Предмет: Алгебра
  • Автор: acasynati
  • Вопрос задан 2 года назад

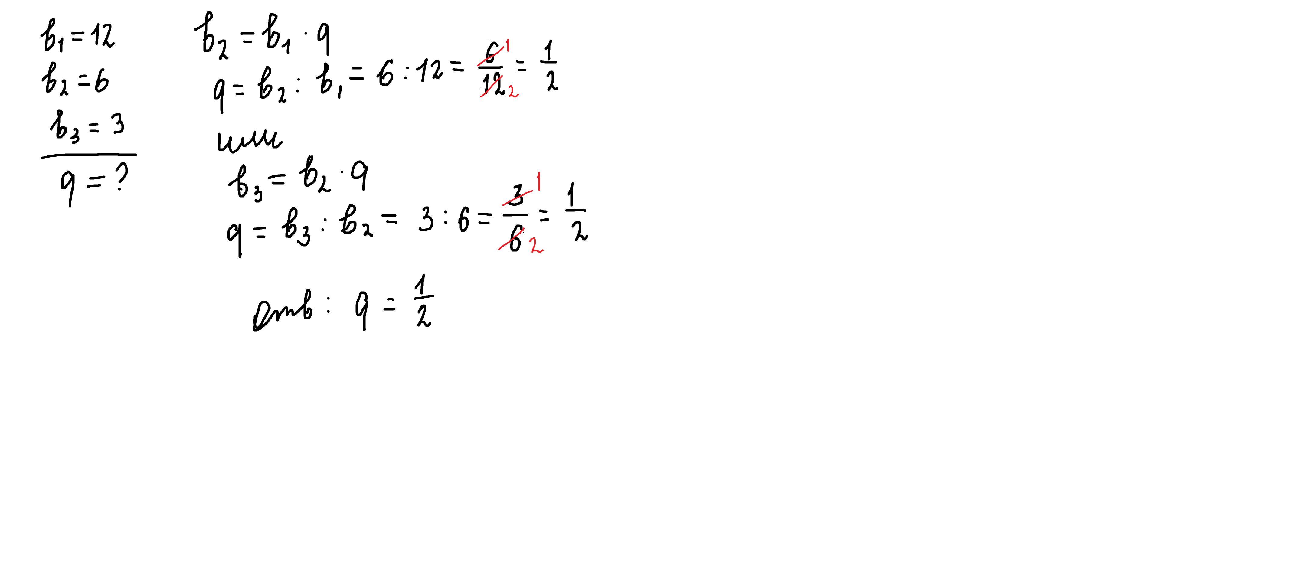
Знайди знаменник геометричної прогресії 12; 6; 3; 1,5 ​

Ответы

Ответ дал: parus77
2

Ответ: q=1/2

Объяснение:

в геом. прогрессии каждый следующий член получается путем умножения предыдущего на одно и тоже число(знаменатель прогрессии q)

Поэтому чтобы найти знаменатель надо последующий член разделить на предыдущий

Приложения:
Вас заинтересует