• Предмет: Математика
  • Автор: poberezhnyimaksim
  • Вопрос задан 2 года назад

Номер 206 помогите пожалуста

Приложения:

Ответы

Ответ дал: ilyasapor
0

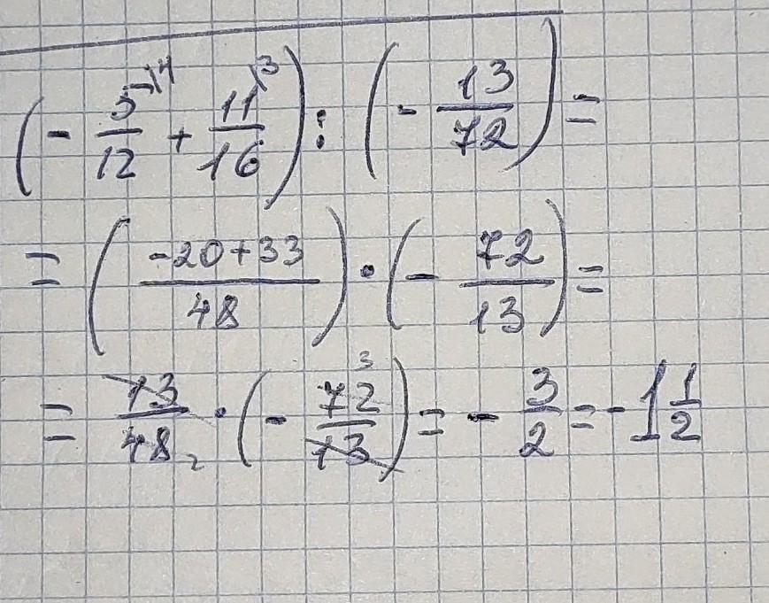
Ответ: решение на фотоо

Пошаговое объяснение:

Приложения:
Ответ дал: tetamotatetyamotya
0

Ответ:

решение ниже

Пошаговое объяснение:

на листочке

Приложения:
Вас заинтересует