• Предмет: Алгебра
  • Автор: goodman6329075
  • Вопрос задан 2 года назад

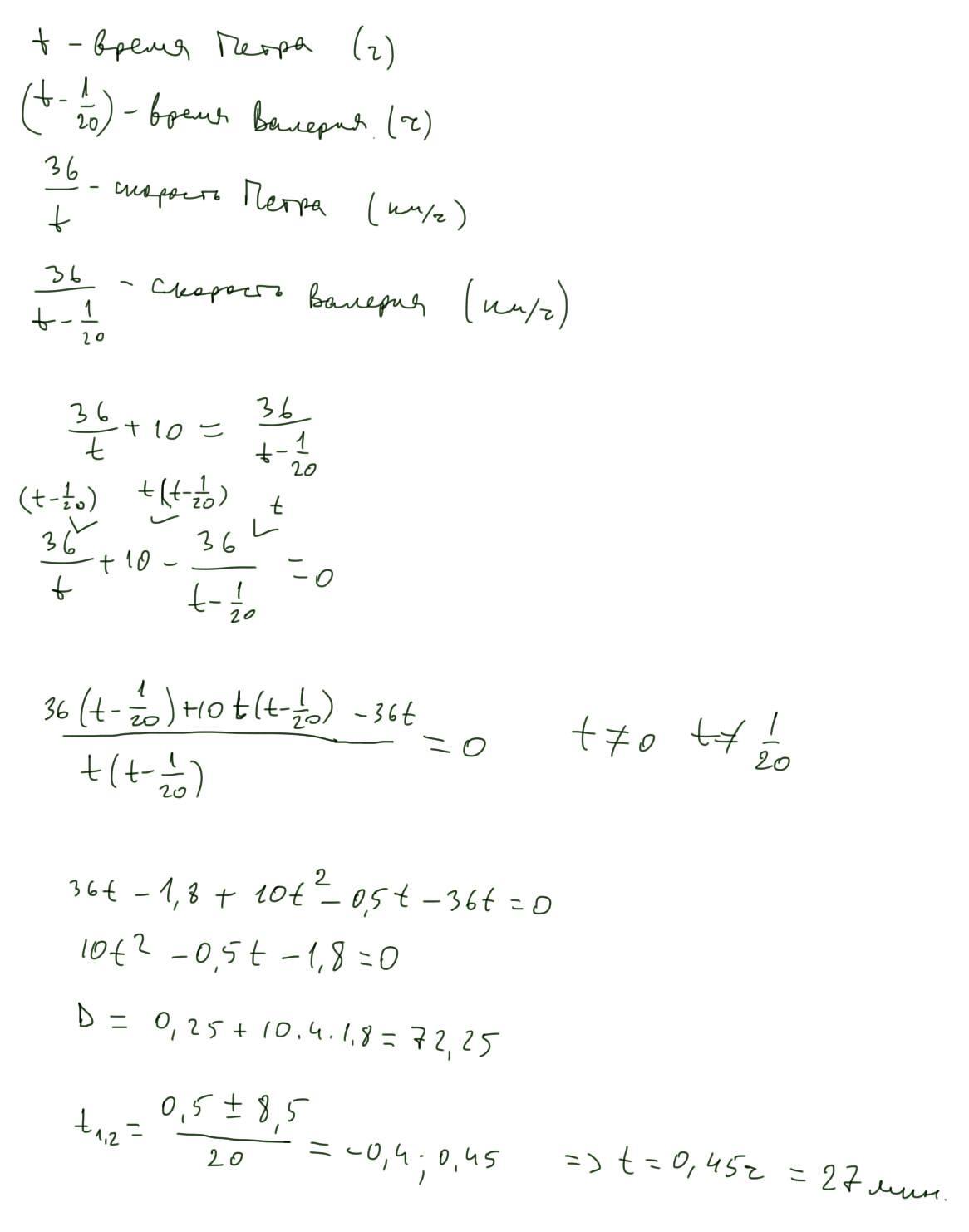
Пётр и Валерий собрались на вокзал. Пётр поехал на метро, станция которого находится в 36 км от вокзала. Валерий задержался на 3 минуты и поехал на такси. Скорость такси на 10 км/ч больше скорости метро. С какой скоростью ехал Пётр, если он приехал одновременно с Валерием.

Ответы

Ответ дал: Warlock1
0

Ответ:

27 мин

Объяснение:

Приложения:
Вас заинтересует