• Предмет: Математика
  • Автор: dotalove8448
  • Вопрос задан 2 года назад

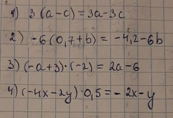
1.Розкрийте дужки:
1) 3(а – с); 2) –6(0,7 + b);
3) (–а + 3) ∙ (–2); 4) (–4x – 2y) ∙ 0,5.
2. Обчисліть зручним способом:
1) –18 ∙ (5/18 – 2/9 – 5/6 + 2/3 );
2) (2 2/5 – 5/6 – 2 1/15) ∙ 30.
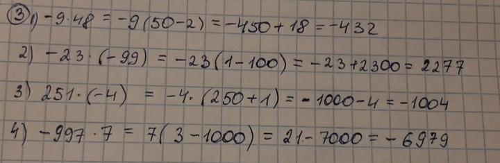
3. Обчисліть, використовуючи розподільну властивістьмноження:
1) –9 ∙ 48; 2) –23 ∙ (–99); 3) 251 ∙ (–4); 4) –997 ∙ 7.
Розв’язання. 1) –9 ∙ 48 = –9 ∙ (50 – 2) = –450 + 18 = –432.

Ответы

Ответ дал: сок111213
1

Решение на прикреплённой фотографии

Приложения:
Вас заинтересует