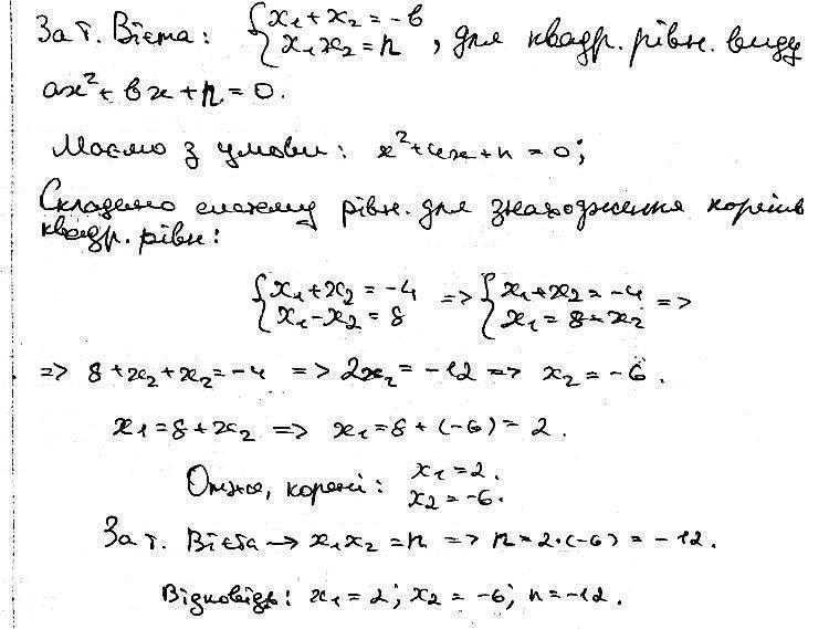
Корені х1 i х2 рiвняння x² + 4x + n = 0 задовольняють умову 3.x1 - x2 = 8. Знайдіть корені рівняння та значення п.
Ответы
Ответ дал:
3
дивіться фото........................................
Приложения:
valentinazozulyaw:
спасибо
Вас заинтересует
2 года назад
2 года назад
2 года назад
2 года назад
3 года назад
3 года назад
9 лет назад
9 лет назад