ПОМОЖІТЬ складіть у зошит блок-схему алгоритму для наведеного франгмента проєкту і запишіть хід його виконання.
Приложения:

Ответы
Ответ дал:
3
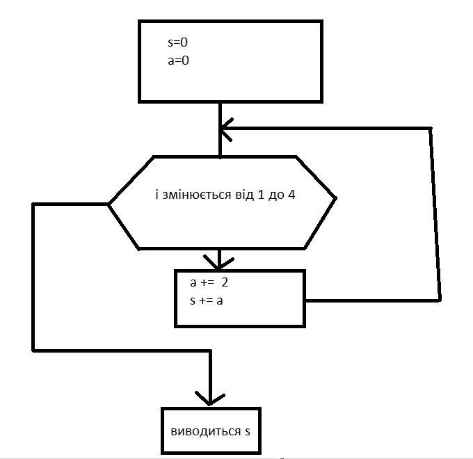
відповідь: на малюнку, просто перемалюй
Приложения:

sssbxjnx:
дякую велике❤️❤️
Вас заинтересует
1 год назад
1 год назад
1 год назад
1 год назад
3 года назад
3 года назад
8 лет назад