• Предмет: Алгебра
  • Автор: reimp243
  • Вопрос задан 2 года назад

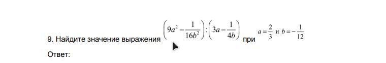
СРОЧНО!!!!! нужен ответ с подробным решением. задание 9

Приложения:

Ответы

Ответ дал: alixayot8
1

Объяснение:

ответ

 \frac{1}{12}

Приложения:
Вас заинтересует