• Предмет: Алгебра
  • Автор: katalahuta128
  • Вопрос задан 2 года назад

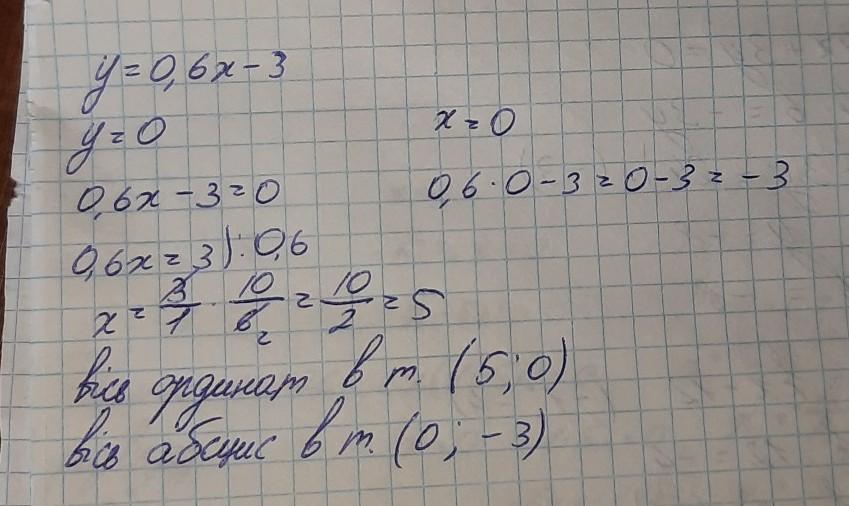
не використовуючи будови знайдіть координати точок перетину графіка функції y=0,6x+5,4 з осями координат ​

Ответы

Ответ дал: polinjkai329302owisd
0

Відповідь:

Пояснення:

Приложения:
Вас заинтересует