• Предмет: Математика
  • Автор: skupennika
  • Вопрос задан 2 года назад

Помогите пожалуйста срочно!!! Даю 30 баллов!!!
Нудно решить самим удобним способом...

Приложения:

Ответы

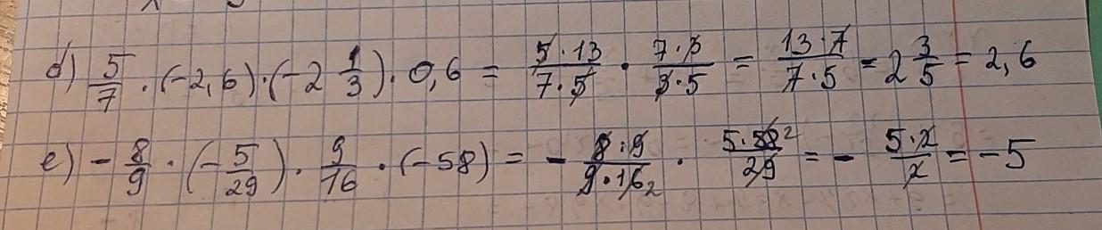
Ответ дал: сок111213
0

решение на прикреплённой фотографии

Приложения:
Вас заинтересует