• Предмет: Математика
  • Автор: danabranova16
  • Вопрос задан 2 года назад

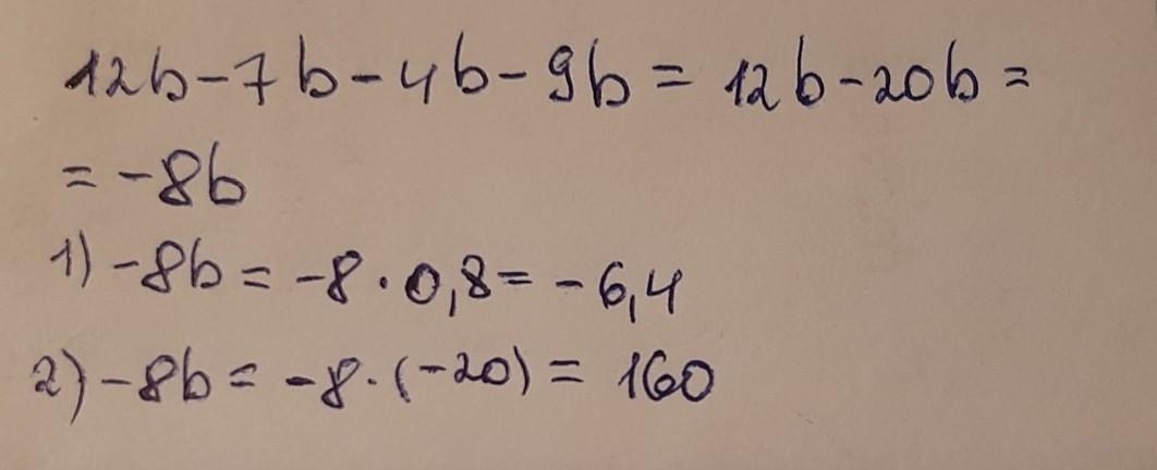
Обчисліть усно значення виразу 12b - 7b - 4b – 9b, якщо: 1) b=0,8; 2) b = -20.​

Ответы

Ответ дал: сок111213
5

Решение на прикреплённой фотографии

Приложения:
Вас заинтересует