• Предмет: Алгебра
  • Автор: wixxlqs
  • Вопрос задан 2 года назад

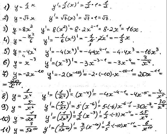
Допоможіть будь ласка з завданням на фото

Приложения:

Ответы

Ответ дал: yevheniiavz
1

дивіться фото..........................

Приложения:

wixxlqs: Велике дякую!
Вас заинтересует