• Предмет: Математика
  • Автор: dilivik
  • Вопрос задан 2 года назад

даю 40 балів допоможіть розв'язати рівняння!​

Приложения:

demencukartem74: Тут 20 балів, обманювати погано
parus77: баллы делятся на 2-х отвечающих.

Ответы

Ответ дал: goroshina85
1

Ответ:

Пошаговое объяснение:

Приложения:
Ответ дал: iramazurk
0

Пошаговое объяснение:

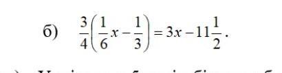
3/4(1/6х - 1/3) = 3х - 11 1/2

3/24х - 3/12 = 3х - 11 1/2

3/24х - 3х = -11 1/2 + 3/12

1/8х - 2 8/8х = -11 6/12 + 3/12

-2 7/8х = -11 3/12

-23/8х = -11 1/4

-23/8х = -45/4

х = -45/4 : (-23/8)

х = -45/4 * (-8/23)

х = -45/1 * (-2/23)

х = 90/23

х = 3 21/23

Вас заинтересует