Ответы
Ответ дал:
0
Ответ: ниже
Пошаговое объяснение:
Приложения:

Ответ дал:
1
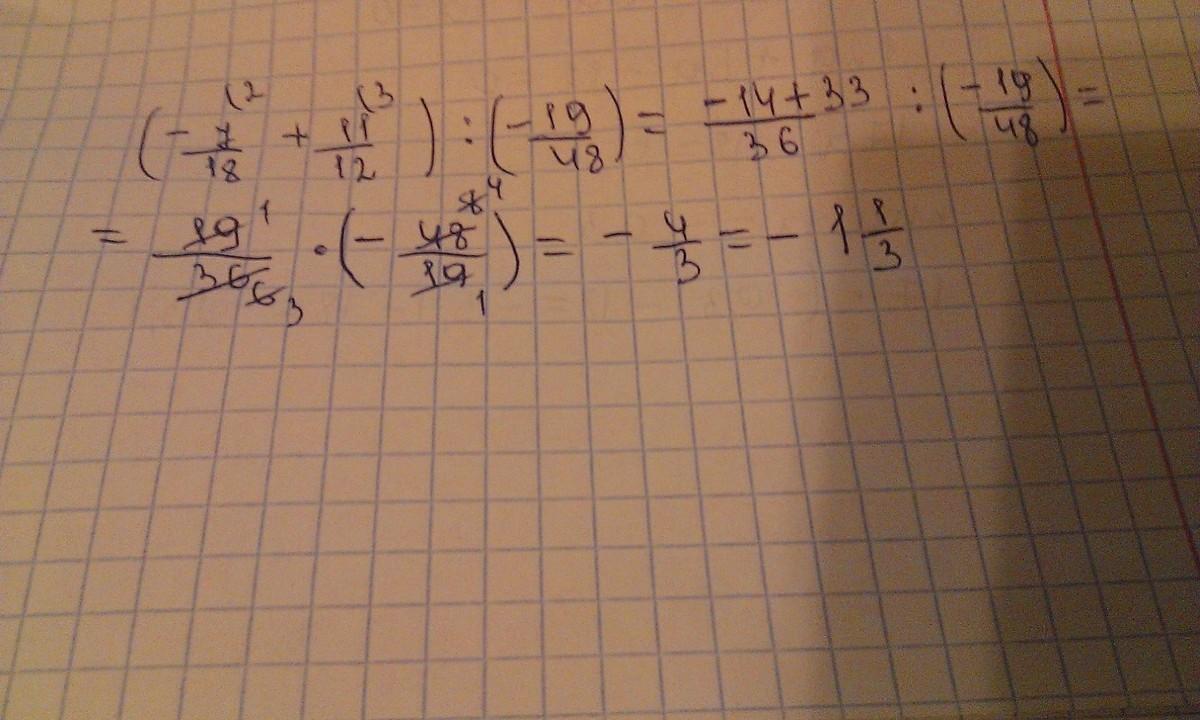
Ответ: - 4/3 или - 1 1/3
Пошаговое объяснение:
(-7/18+11/12)÷-19/48=(-14+33/36)÷-19/48=
=19/36÷-19/48=-19/36*48/19=-48/36=
сокращаем дробь на 12
=-4/3 или - 1 1/3
Вас заинтересует
1 год назад
1 год назад
3 года назад
8 лет назад