• Предмет: Математика
  • Автор: 42353647867986543
  • Вопрос задан 2 года назад

Зделайте пж!!!!!!!!!!!!!!!!!!!!!!!!!!!!!!!!!!!!!!!!!!!!!!!!

Приложения:

Ответы

Ответ дал: zubareva1956
0

Ответ:

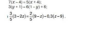
 7x - 28 = 5x + 20 \\ 7x - 5x = 20 + 28 \\ 2x = 48 \\ x = 24 \\ 3y + 3 = 6 - 6y + 6 \\ 3y - 6y = 6 - 3 \\  - 3y = 3 \\ y =  - 1 \\  \frac{9}{5}-  \frac{6}{5} z =  \frac{18}{5}  -  \frac{2}{5} z - 0.3z + 2.7 \\  -  1.2z  +0.4z + 0.3z =  3.6 + 2.7 - 1.8 \\  - 0.5z = 5.3 \\ z =  - 10.6

Вас заинтересует