• Предмет: Алгебра
  • Автор: Sinrostro
  • Вопрос задан 2 года назад

Нужно подробное объяснение (8 клас )

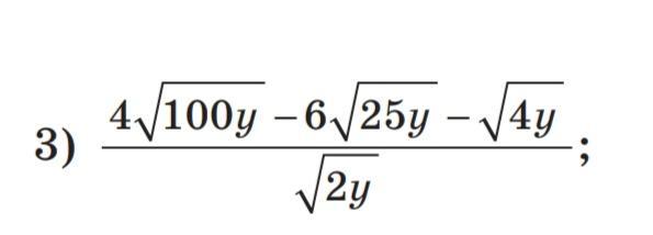
Приложения:

Ответы

Ответ дал: biasw
1

Ответ:

найдем корни

 \frac{4 \times 10 \sqrt{y} - 6 \times 5 \sqrt{y}  - 2 \sqrt{y}  }{ \sqrt{2y} }

 \frac{40 \sqrt{y}  - 30 \sqrt{y} - 2 \sqrt{y}  }{ \sqrt{2y} }

40 \sqrt{y}  - 30 \sqrt{y} = 10 \sqrt{y}  - 2 \sqrt{y}  = 8 \sqrt{y}

 \frac{ 8\sqrt{y} }{ \sqrt{2y} }

упростим

 \sqrt{y}

и

 \sqrt{2y}

получим ->

 \frac{8}{ \sqrt{2} }

умножим дробь на

 \frac{ \sqrt{2} }{ \sqrt{2} }  \\  \frac{8}{ \sqrt{2} }  \times  \frac{ \sqrt{2} }{ \sqrt{2} }  \\  \frac{8 \sqrt{2} }{ \sqrt{2} \sqrt{2} }

 \sqrt{2}  \sqrt{2}  = 2

8 и 2 сократим

ответ:

4 \sqrt{2}

Вас заинтересует