• Предмет: Физика
  • Автор: tymkivkristina2
  • Вопрос задан 2 года назад

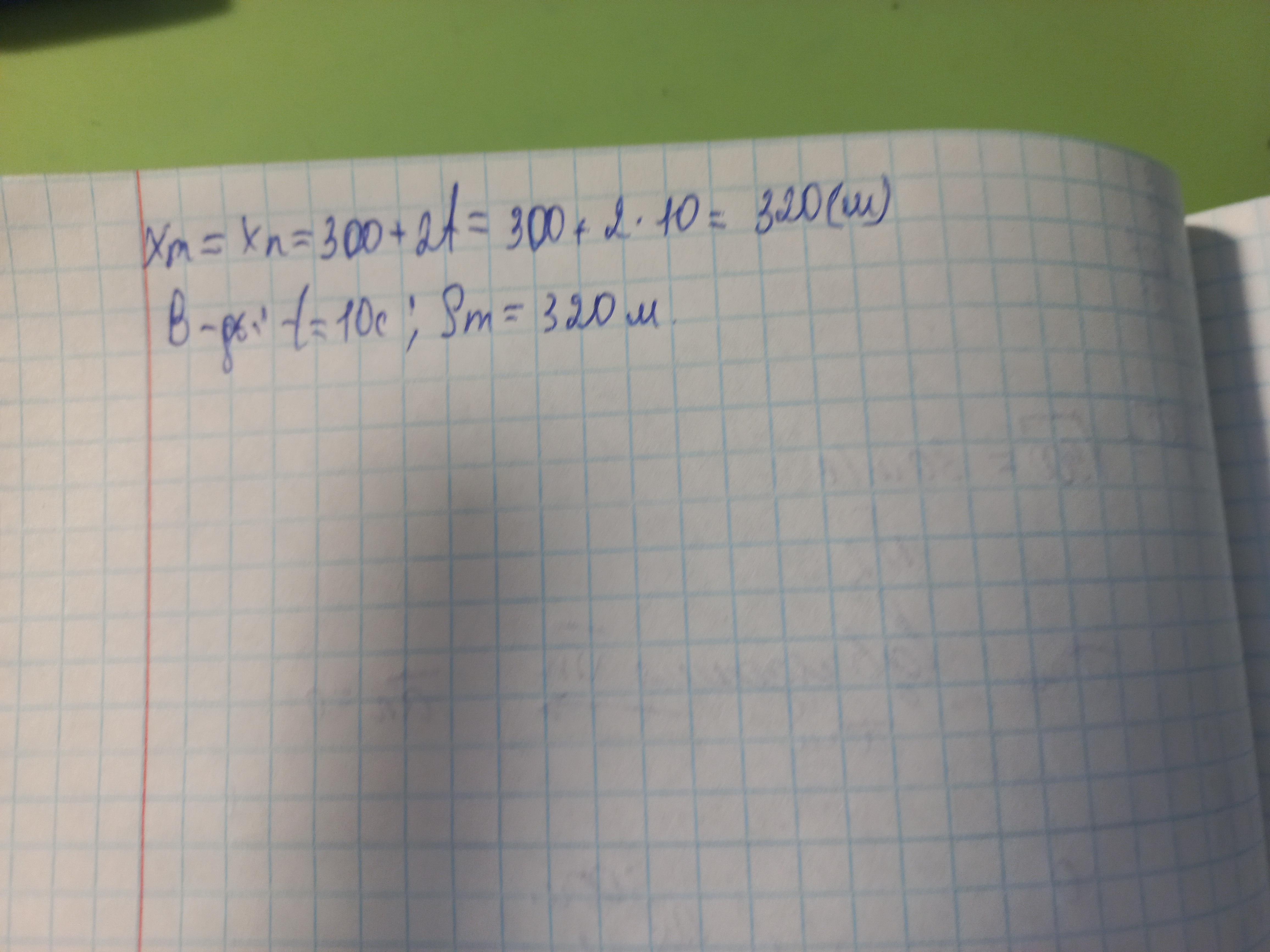
Прямолінійною ділянкою дороги йде пішохід із незмінною швидкістю 2 м/с. Його наздоганяе мотоцикл, який збільшує швидкість, рухаючись із прискоренням 2 м/с². Через який час мотоцикл обжене пішохода, якщо на момент початку відліку часу відстань між ними становила 300 м, а мотоцикл рухався зі швидкістю 22 м/с? Яку відстань подолає мотоцикл за цей час?
допоможіть люді​

Ответы

Ответ дал: griskoulana61
3

Ответ:

Объяснение: я надеюсь всё понятно

Приложения:
Вас заинтересует