• Предмет: Математика
  • Автор: Аноним
  • Вопрос задан 2 года назад

только бистрей даю 20 балов больше нет

Приложения:

Ответы

Ответ дал: kireevaelena756
0

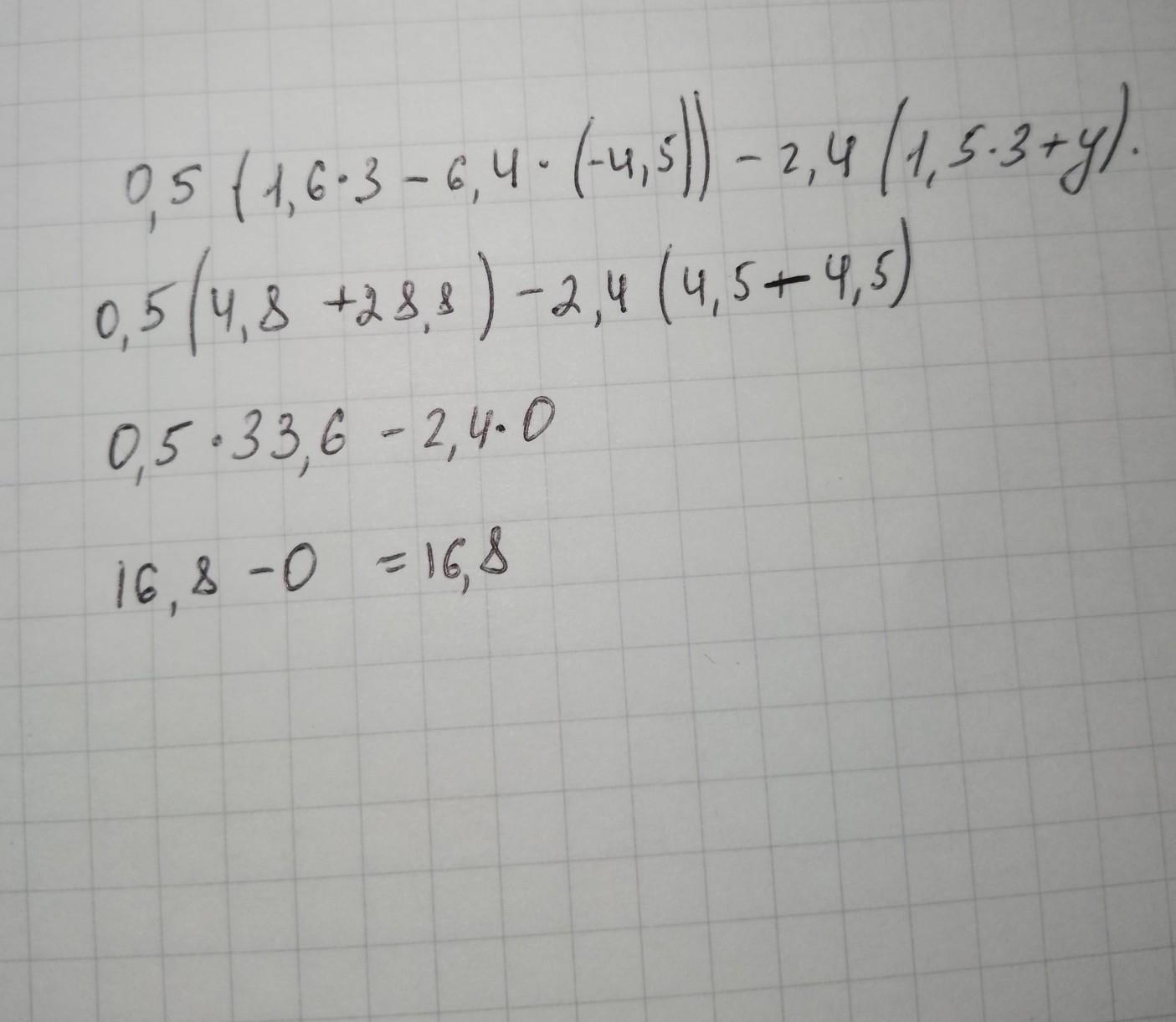
Ответ:на ф о т о

Пошаговое объяснение:

Приложения:

Аноним: я не чево не понимаю
Ответ дал: Ulia4567
1

Ответ:

Не знаю, так тебе нужно или нет. но сделала как смогла

Приложения:
Вас заинтересует