Ответы
Ответ дал:
2
Ответ:
все на фото там я перепутал номерки но ты
Пошаговое объяснение:
Приложения:

Ответ дал:
0
Пошаговое объяснение:
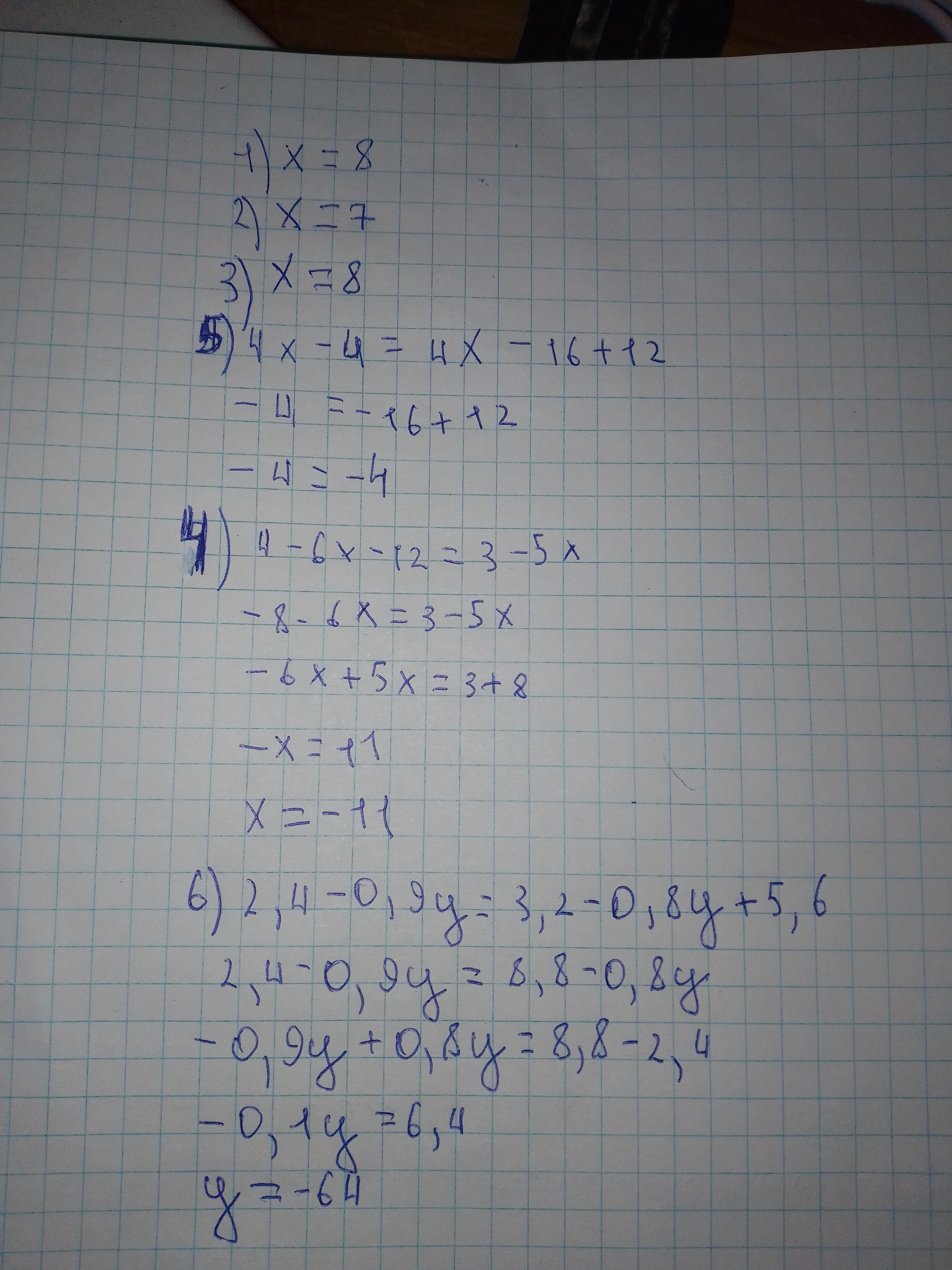
4х = 24 + х
4х - х = 24
3х = 24
х = 24 : 3
х = 8
9 - 4х = 3х - 40
-4х - 3х = -40 - 9
-7х = -49
х = -49 : (-7)
х = 7
0,6х - 5,4 = -0,8х + 5,8
0,6х + 0,8х = 5,8 + 5,4
1,4х = 11,2
х = 11,2 : 1,4
х = 8
4 - 6 * (х + 2) = 3 - 5х
4 - 6х - 12 = 3 - 5х
-8 - 6х = 3 - 5х
-6х + 5х = 3 + 8
-х = 11
х = -11
4 * (х - 1) = 2 * (2х - 8) + 12
4х - 4 = 4х - 16 + 12
4х - 4 = 4х - 4
Утверждение верно для любого значения х, так как обе части уравнения одинаковые.
х Є R
0,3 * (8 - 3у) = 3,2 - 0,8 * (у - 7)
2,4 - 0,9у = 3,2 - 0,8у + 5,6
2,4 - 0,9у = 8,8 - 0,8у
-0,9у + 0,8у = 8,8 - 2,4
-0,1у = 6,4
у = 6,4 : (-0,1)
у = -64
Вас заинтересует
1 год назад
1 год назад
1 год назад
3 года назад
3 года назад
8 лет назад