• Предмет: Геометрия
  • Автор: 0509243261a
  • Вопрос задан 2 года назад

срочно!!!! дайте пожалуйста нормальный ответ, а не как всегда. С объяснением пожалуйста

Приложения:

Ответы

Ответ дал: gadomskaanastasiia
1

Відповідь: поставте корону, будь ласка

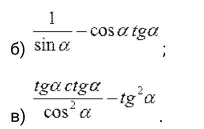
Пояснення: б) \frac{1}{sin a} - cos a * tga\\ 1)\frac{1}{sin a} - cos a * \frac{sina}{cosa}\\ 2)\frac{1}{sin a} - sina\\3)\frac{1 - sina^{2} }{sina} \\4)\frac{cosa^{2} }{sina}1) перетворимо тангенс за його властивістю

2) зведемо подібні множники

3) запишемо все як одне рівняння

4) скористуємося властивістю тригонометричних функцій 1 - sin^{2} = cos^{2}

в) тут також користуємося властивістю тригон. функцій, знаючи, що cot = \frac{1}{tg} = \frac{cos}{sin} \\tg = \frac{sin}{cos} \\cos^{2} = 1 - sin^{2} і отримуємо в результаті:

\frac{tga * ctga}{cosa^2} -tg a\\\frac{tga*\frac{1}{tga} }{cosa^2} - \frac{sina^2}{cosa^2}  \\\\\frac{1}{cosa^2} - \frac{sina^2}{cosa^2} \\\frac{1 - sina^2}{cosa^2} \\\frac{cosa^2}{cosa^2} \\1


0509243261a: Cпасибо большое!
gadomskaanastasiia: пожалуйста
Вас заинтересует