• Предмет: Алгебра
  • Автор: ktv201919
  • Вопрос задан 2 года назад

Очень срочно!!!!!!!!
Помогите пж
Надо сделать письменно
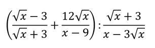
если значеие х 25

Приложения:

Ответы

Ответ дал: сок111213
2

Ответ: 5

Решение на прикреплённой фотографии

Приложения:
Вас заинтересует